S'abonner à un flux RSS
 

Wikibardig:Barrages en terre homogène ou pseudo-zonés : Différence entre versions

De Wiklimat
(Protection de la crête)
Ligne 240 : Ligne 240 :
  
 
Photo crête
 
Photo crête
_{a}==== Protection des talus amont ====
+
 
 +
==== Protection des talus amont ====
  
 
Dans de nombreux projets de barrages en remblai, la protection du talus amont est particulièrement importante pour la stabilité de l’ouvrage. Elle a pour objectif de lutter contre l’érosion et les dégâts qui pourraient résulter de l’action des vagues.
 
Dans de nombreux projets de barrages en remblai, la protection du talus amont est particulièrement importante pour la stabilité de l’ouvrage. Elle a pour objectif de lutter contre l’érosion et les dégâts qui pourraient résulter de l’action des vagues.

Version du 3 mars 2015 à 16:48

Sommaire

Barrages en terre homogène ou pseudo-zonés

Composition

Le barrage en terre homogène est constitué d’un massif en terre compactée imperméable, (assurant à la fois l’étanchéité et la résistance) muni d’un dispositif de drains dans sa partie aval et d’une protection mécanique contre l’effet du batillage dans sa partie amont.

Le barrage pseudo-zoné est une variante du barrage homogène qui consiste à répartir les matériaux dans le corps du barrage en fonction de leur granularité ou de leur humidité, mais sans que des filtres de séparation ne soient nécessaires. Il ne s’agit donc pas de véritables zones délimitées avec précision. Par exemple, on pourra réaliser un barrage homogène où les matériaux les plus fins sont placés à l’amont et les plus grossiers à l’aval ; ou bien où les matériaux les plus humides sont placés au centre. Les barrages pseudo-zonés sont drainés exactement comme les barrages homogènes, le drain ne constituant pas une séparation entre deux zones réputées différentes, contrairement à la plupart des barrages zonés.(Petits barrages).

Ces ouvrages sont bien adaptés aux sites ayant une fondation déformable. En effet, de conception rustique, ils ont une grande emprise au sol, n'engendrent que peu de contraintes, s'accompagnent en fondation de faibles gradients d'écoulement et peuvent accepter des tassements de la fondation. Par contre, ils ne supportent pas bien les variations rapides du plan d'eau et pas ou très peu la submersion.

Bar terre homogène.PNG

Pente des talus

La pente des talus est une caractéristique importante pour la stabilité mécanique de l’ouvrage.

La pente des talus du barrage en terre est fixée par les conditions de stabilité mécanique du massif et de ses fondations. En ce qui concerne le massif, pour déterminer la pente des parements on se donne en général des pentes qui paraissent optimales, compte tenu de la nature des matériaux, et on vérifie par une étude de stabilité que le barrage présente une sécurité suffisante avec ces pentes.

On peut exprimer l'inclinaison des talus par leur pente ou par leur fruit, inverse de la pente. Dans le cas des barrages en terre le terme pente est souvent utilisé pour désigner le fruit. Dans ce texte il est fait mention de la pente, rapport de la hauteur du talus sur sa projection horizontale.

A titre indicatif, le tableau ci-après donne quelques valeurs qui devront être confirmées par une étude de stabilité.

Pentes indicatives.PNG

Pentes indicatives des parements d'un barrage en terre

Hauteur Type amont aval
< 5m Quelconque 1/2 1/2
Texte de la cellule Homogène, granulo étendue 1/2,5 1/2,25
Texte de la cellule Homogène fort % argile 1/2,75 1/2,25
Texte de la cellule Noyau + recharges grossières 1/2,25 1/2
Texte de la cellule Homogène, granulo étendue 1/2,75 1/2,5
Texte de la cellule Homogène fort % argile 1/3 1/2,5
Texte de la cellule Noyau + recharges grossières 1/2,5 1/2,25

Pentes indicatives des parements d'un barrage en terre

Hauteur Type amont aval
< 5m Quelconque 1/2 1/2
5 à 10 m Homogène, granulo étendue

Homogène fort % argile

Noyau + recharges grossières

1/2,5

1/2,75

1/2,25

1/2,25

1/2,25

1/2

10 à 15 m Homogène, granulo étendue

Homogène fort % argile

Noyau + recharges grossières

1/2,75

1/3

1/2,5

1/2,5

1/2,5

1/2,25

Construction du remblai en terre compactée

L’exécution du remblai en terre compactée comprend les deux étapes les plus importantes de la construction du barrage en terre qui sont le prélèvement des matériaux et le compactage du remblai.

  • Le prélèvement des matériaux en ballastières

Les études et reconnaissances préliminaires permettent de délimiter les zones d’emprunt des matériaux destinés à la construction du barrage et de définir les caractéristiques de ces matériaux, notamment les limites en eau admissibles pour le compactage.

Le maintien de la teneur en eau naturelle dans les limites admissibles nécessite certaines précautions. Dans le cas de matériaux trop humides il faudra prévoir un système de drainage de la zone d’emprunt. Il sera peut être nécessaire de prélever le matériau trop humide et de le mettre en dépôt provisoire en couches minces avant son utilisation. Dans le cas de matériaux trop sec, on doit rectifier sa teneur en eau en l’humidifiant par aspersion après hersage. D’une manière générale une rectification de la teneur en eau naturelle est délicate et coûteuse et n’est possible que si celle-ci n’est pas éloignée des limites admissibles de plus de 5 à 6 %. Si les différences sont plus grandes les couches concernées ne pourront pas être utilisées.

De même si le matériau présente des granulométries extérieures aux fuseaux retenus au projet, il ne pourra pas être mis en œuvre, sauf si le maître d’œuvre en autorise l’utilisation après adaptation éventuelle du projet aux caractéristiques effectives du matériau.

Les ballastières sont découpées en bandes et ouvertes successivement au fur et à mesure des besoins du chantier. Les extractions sont conduites soit parallèlement à la vallée soit transversalement, suivant la pente du versant. Cette dernière disposition est préférable en raison du gain de puissance qu’elle autorise au chargement, mais elle reste limitée à des versants relativement doux, dont les pentes ne dépassent pas 15 à 20 %. Les extractions doivent être effectuées de telle sorte que les zones d’emprunt ne présentent pas de points bas. Le choix du mode de prélèvement et donc du matériel à utiliser dépend de l’hétérogénéité de la zone d’emprunt. Alors qu’un matériau homogène est généralement prélevé par couches horizontales au moyen d’un scraper, il peut être plus indiqué, dans le cas d’une hétérogénéité verticale, de procéder par prélèvement vertical, à l’aide d’une pelle mécanique de façon à obtenir par mélange un matériau moyen de caractéristiques acceptables.

Après l’achèvement des opérations d’extraction dans les zones d’emprunt, celles-ci doivent être remodelées avec des talus en pente suffisamment douce pour en assurer la stabilité. Un apport de terre végétale ainsi qu’un modelé de la carrière dans les zones situées au-dessus du plan d’eau normal de la retenue permettent de donner un aspect satisfaisant aux abords de la cuvette.

  • Le compactage du remblai en terre

L’épaisseur des couches et le nombre de passes de l’engin compacteur seront déterminés expérimentalement à l’ouverture du chantier par des essais qui peuvent être avantageusement effectués pour la construction du batardeau de protection à l’amont du chantier.

L’exécution de la première couche de remblai doit être précédée, en général d’une scarification de l’assise sur 15 cm d’épaisseur accompagnée d’une désagrégation des mottes et de l’élimination des blocs de dimensions supérieures à 20 cm, suivi d’un compactage. Il importe d’intercepter toute venue d’eau s’écoulant sur les terrains qui reçoivent le remblai. Pour la construction du barrage, l’épandage, le hersage et le compactage des terres doivent être exécutés suivant l’axe de la digue. L’homogénéisation du remblai entre diverses couches successives constitue un des aspects importants du chantier. Il est nécessaire, d’assurer l’accrochage entre couches par une scarification soignée avant l’épandage d’une nouvelle couche. La profondeur de la scarification doit être au moins égale à 5 cm. L’homogénéisation dépend principalement du mode de compactage qui devra éviter tous risque de feuillages de couches. De façon générale, après chaque pluie ou après un arrêt prolongé du chantier, la dernière couche mise en œuvre qui a été décomprimée doit être scarifiée et recompactée. Si cette couche superficielle est saturée d’eau, elle doit être évacuée en décharge. L’excès d’humidité constitue un des deux plus grands handicaps pour le bon déroulement du chantier.

D’une manière générale, les matériaux les plus imperméables sont mis en place vers le cœur du remblai, et les moins imperméables en recharge vers les parements. La partie centrale du remblai doit monter légèrement en avance, de manière à ce que le remblai présente constamment une pente vers chacun des deux parements pour permettre l’écoulement des eaux de pluie.

Le réglage des talus est en générale exécuté aux engins (bouteurs ou niveleurs à lame orientable selon la pente). Il est nécessaire de prévoir une sur-épaisseur du massif, afin de retailler le talus dans la partie compactée du remblai.

Drainage et filtres

Le dispositif filtre/drain est un élément particulièrement important d’un barrage en remblai. Nombre d’accidents et de rupture sont imputables à l’absence de filtres et/ou de drains, ou encore à une mauvaise conception ou réalisation du système filtre/drain pouvant conduire à une érosion interne ou un drainage insuffisant. La sécurité des barrages en remblai dépend donc d’une conception et d’une construction adéquate des systèmes de filtres et de filtres/drains.

Fonctions du dispositif de drainage et filtres

Dans un barrage et dans sa fondation, du fait de la charge amont, l’eau s’infiltre progressivement même si le matériau est étanche. Par ailleurs, des fuites accidentelles peuvent provenir d’une fissure du noyau par fracturation hydraulique, d’un collage imparfait entre le noyau et la fondation… Les infiltrations ne doivent pas déboucher sur le parement aval de manière incontrôlée car il s’en suivrait un risque de déstabilisation du pied du talus aval ou d’amorce de renard . Un dispositif drainant, zone de forte perméabilité, est donc quasiment toujours nécessaire afin de maîtriser les écoulements. Il est en général composé d’un drain vertical (drain cheminée) et d’un drain horizontal (drain tapis). Il constitue un élément de sécurité majeur des ouvrages.

Un drain naturel est réalisé en matériaux grossiers (graviers, sables) pour être le plus perméable possible. Sous l’effet de la circulation de l’eau, les particules de sol peuvent migrer vers une zone de sol plus grossier comme des matériaux du remblai vers les vides interparticulaires des matériaux du drain. Afin que l’écoulement n’entraîne pas son colmatage par migrations des fines du remblai, un drain doit être protégé par un matériau de granulométrie intermédiaire jouant le rôle de filtre s’opposant au colmatage du drain. En variante, le filtre peut être constitué en géotextile. Le drain lui-même peut aussi être constitué en géosynthétiques.

Il est impératif que les systèmes de filtre et de drain dans les barrages en remblai évacuent en toute sécurité la totalité des eaux d’infiltration vers le pied aval ou vers une zone adjacente plus perméable sans développer de pressions excessives. La conception du système de drainage doit considérer le scénario le plus défavorable, incluant la fissuration du noyau, la fracturation hydraulique et/ou une ségrégation dans le noyau.

Les matériaux pour les filtres et drains sont fabriqués à partir d’alluvions ou d’enrochements de carrière par concassage et triage afin d’obtenir la composition granulométrique attendue puis lavage afin d’éliminer les éléments fins en excès. Les matériaux calcaires sont à éviter.

Système de drainage

L’un des moyens les plus simples d’analyser l’écoulement dans les filtres et les drains et d’évaluer leur dimensionnement est la loi de Darcy :

Q/i = kA

  • Q (m3 /s) est le débit estimé d’écoulement qui doit être évacué par le filtre ou le drain (par unité de longueur de la structure) ;
  • i est le gradient hydraulique admissible (disponible) dans le filtre ou le drain ;
  • k est le coefficient de perméabilité requis du filtre ou du drain (m/s) ;
  • A est la surface du filtre ou du drain perpendiculaire à la direction d’écoulements dans le filtre ou le drain.

Toutes les combinaisons de k et A qui assurent la capacité d’évacuation (avec un coefficient de sécurité adéquat) peuvent être acceptées. En général, des couches relativement minces d’un matériau de forte perméabilité sont plus économiques que des couches épaisses de perméabilité plus faibles. k vaut de l’ordre de 10-8 à 10- 10 m/s pour une argile et de 10-4 à 10-6 m/s pour un sable. Une caractéristique importante à considérer est la charge hydraulique en un point. Considérons un point situé dans un massif saturé siège d’un écoulement permanent. Soit u la pression de l’eau en ce point et z sa cote par rapport à un repère quelconque. La charge hydraulique en ce point est par définition : $ h = \frac u y_w + z + \frac {v^2}{2g} $

Comme les vitesses dans les sols sont toujours faibles, le terme $ \frac {v^2}{2g} $ est négligeable d'où : $ h = \frac u y_w + z $

Dans un écoulement uniforme et unidirectionel, le gradient est par définition le rapport de la différence de charge h à la longueur L du trajet de l'eau dans le sol. Dans un écoulement quelconque le gradient en M est
le vecteur $ \vect i $ de composantes $ -\frac {dh} {dx},-\frac {dh} {dy},-\frac {dh} {dz} $. Si M' est infiniment proche de M, dh = -i.MM'=idM. Les équipotentielles sont les lignes où la charge h est constante. Elles sont orthogonales aux ligne de courant puisque si dh=0 alors idM=0.

Drain horizontal ou drain tapis

Un drain tapis est posé au contact fondation-remblai, et remonte environ à l’aplomb du coin aval de la crête. Ainsi, le cercle de glissement (renvoi vers Glissement dans mode de rupture) potentiel le plus défavorable ne risque pas de recouper une zone de remblai saturé, du moins si le drain est efficace. Ce remblai a une épaisseur d’au moins 50 cm et souvent plus.

Considérons un barrage drainé horizontalement, en situation d’écoulement permanent. Pour tracer les lignes de courant en situation d'écoulement permanent, nous disposons de deux conditions aux limites en régime permanent : h = H le long du parement amontAB et h = z le long de BC la courbe de saturation. Le parement amont est donc une équipotentielle, et les lignes de courant lui sont donc perpendiculaires. Le potentiel est nul au niveau du drain. La courbe de saturation et le contact avec la fondation sont des lignes de courant. D'où l'allure du tracé des lignes de courant (Figure ci-dessous : Source Aide-mémoire mécanique des sols)

Bar drainé horizontalement.PNG

Le compactage crée les conditions d’une anisotropie de perméabilité (plus forte dans le sens horizontal que dans le sens vertical). Il en résulte un risque de contournement du drain horizontal. Pour cette raison, on réalise quasi systématiquement un drain vertical.

Isotrope.PNG

Effet de l’anisotropie dans le cas d’un barrage drainé par un drain horizontal.

On constate que lorsque le rapport d’anisotropie atteint une valeur de l’ordre de 30 à 40, l’écoulement interne débouche sur le talus aval.

Source Sébastien MERCKLE, Irstea Aix-en-Provence.

Drain vertical (cheminée).PNG

Source Formation Contrôle des barrages intervention Patrice MERIAUX

Le drain vertical est poursuivi entre la base du remblai et le niveau normal des eaux plus 0,20 à 0,30 m, ou bien le niveau des plus hautes eaux, de manière à être sûr que la ligne de saturation ne pourra pas passer plus haut que le drain. Ce drain vertical est raccordé au pied aval par un tapis drainant horizontal, ou par des cordons drainants.

Dans les grands barrages, le drain vertical (ou incliné) est construit couche par couche comme les zones du remblai, et de même pour ses filtres. On a donc un drain grossier et deux filtres plus fins.

Pour les petits barrages, il est réalisé en matériau perméable (drainant) respectant les conditions de filtre avec le remblai qui l’entoure. Le matériau utilisé (sable plutôt uniforme) est dit auto-filtrant.

Le drain est construit en creusant dans le remblai tous les 5 à 6 couches compactées, une tranchée large de 0,5 à 1,5 m, puis en y déversant un sable auto-filtrant (pas de filtre entre ce sable et le matériau du remblai). On recommande dans ce cas de choisir un sable 0-5 mm vérifiant : D05> 0,08 mm (propreté) et D15 > 0,1 mm (perméabilité). Da est le diamètre du tamis laissant passer respectivement a % en poids du matériau le plus grossier.

Il est possible de diminuer l’épaisseur du drain cheminée (minimum de 0,50 m) au fur et à mesure de la montée du remblai en fonction de la valeur de H2 √ V correspondant à la cote inférieure de la tranche considérée (drain cheminée avec deux ou trois épaisseurs en tout).

Le tableau ci-dessous donne les valeurs de l’épaisseur minimale préconisée. Cette dernière est, en général, largement surabondante en ce qui concerne le débit des infiltrations, mais elle permet d’avoir une sécurité à long terme vis-à-vis d’un colmatage partiel par des fines et /ou par des carbonates. La nature des matériaux du remblai peut conduire à adopter des épaisseurs plus importantes. Les largeurs de godet disponibles sont aussi à prendre en compte.

$ H\sqrt V $ < 30 30 à 100 100 à 300 300 à 700 700 à 1500
Épaisseur en m 0,50 0,80 1,00 1,20 1,50

Épaisseur minimale du drain en sable (H et V correspondent à l'altitude considérée)

Drain vertical.PNG

Les principaux essais qui permettent de qualifier les matériaux (hors la granulométrie) sont les suivants :

  • mesure du coefficient de friabilité des sables ;
  • essai Los Angeles (chocs) et essai Micro-Deval (usure) pour les graviers ;
  • équivalent de sable, essai au bleu de méthylène (la présence d’argile peut entraîner une cohésion et donc une fissuration du matériau), teneur en matières organiques.

Système de filtre

Filtre en matériaux granulaires

Pour éviter les migrations de particules fines, deux zones successives d'un ouvrage hydraulique doivent vérifier des conditions de filtre qui sont des règles granulométriques. En pratique, les conditions de filtre ne sont pas faciles à respecter entre ces deux matériaux et l’on interpose, le plus souvent, un matériau de granulométrie intermédiaire, appelé filtre. Les conditions explicitées ci-après doivent être vérifiées aux deux interfaces : entre matériau fin du remblai et filtre puis entre filtre et drain. Dans chaque cas, D désigne la taille des grains du matériau le plus grossier et d celle des plus fins.

Dans une courbe granulométrique, on appelle dx la dimension de grain correspondant à x % en poids de tamisat (ce qui passe au travers du tamis). On appelle coefficient d'uniformité (ou de Hazen) le rapport d60/d10.

Un sol tel que d 60/d 10< 3 est dit à granulométrie uniforme ; un sol tel que d 60/ d 10> 3 est dit à granulométrie étalée. Par exemple, sur la courbe ci-dessous : d60 = 5 mm et d10 = 0,2 mm. D’où d 60/d 10= 25. Le diamètre médian (d50) vaut 3 mm.

Analyse granulo.PNG

Lorsqu’un matériau fin à granulométrie étalée (d60/d 10 > 3) et continue (pas de cassure de la courbe granulométrique) est en contact avec un matériau uniforme (drain ou filtre), leurs granulométries doivent répondre aux conditions suivantes :

  • condition de non entraînement des fines (rétention) :D15< 5.d85 ;
  • coefficients d'uniformité des filtres (pour éviter la ségrégation et assurer la stabilité interne) d60 /d10 et des drains D60 /D10 compris entre 2 et 8.
  • moins de 5 % d’éléments inférieurs à 80 μ et d15 des sables > 0,1 mm (en appliquant la formule de VAUGHAN et SOARES k = 0,35 d215où k en cm/s et d15en mm on obtient pour d15= 0,1 mm une perméabilité k = 3,5 x 10-5 m/s, ce qui est une valeur limite pour un matériau drainant).

Les deux premières conditions sont issues des règles de TERZAGHI élaborées pour des matériaux granuleux uniformes.

Si l’on a affaire à deux matériaux très uniformes (c'est-à-dire tels que D60 /D10< 3 et d60 /d10< 3), la règle de filtre s’écrit : 5.d50< D50< 10.d50. On impose aussi la condition de propreté pour le matériau constitutif d’un drain : D05> 0,08 mm. Ce cas concerne en particulier l’interface entre le filtre et le drain. Un sol très gradué (d60 /d10 > 16) et à granulométrie discontinue présente des risques d'érosion interne de sa partie fine sous l'effet des circulations d'eau. Le filtre contigu à ce matériau doit donc être déterminé avec le d85 de la partie inférieure de la courbe granulométrique du sol, après le changement de pente (cf. figure).

Granulometrie discontinue.PNG

Filtre en géotextiles

Les géotextiles peuvent aussi jouer un rôle de filtre, en lieu et place d’un filtre granulaire.

Avec un géotextile, on cherche à assurer deux propriétés partiellement contradictoires. L’une est la rétention et, si elle est totale, aucune particule du sol ne peut migrer et le géotextile qui doit être relativement fermé risque de se colmater. L’autre propriété est justement l’absence de colmatage, et le géotextile qui doit être relativement ouvert ne s’oppose pas totalement à la migration des éléments fins du sol. Le mécanisme de filtration par géotextile est complexe. Il consiste en fait à empêcher les plus grosses particules du sol de se déplacer, pour quelles constituent un auto filtre du sol, tout en laissant passer les particules les plus fines. La partie de géotextile située au-delà de la première épaisseur qui a arrêté le squelette du sol présente l’avantage de donner de la perméabilité au géotextile et l’inconvénient d'accroître la probabilité qu’une particule fine se trouve piégée dans l'épaisseur. Il faut donc éviter un géotextile trop épais. D’autre part, il faut éviter un géotextile trop fin, pour des raisons de durabilité et de résistance.

Les règles françaises actuelles de dimensionnement des filtres en géotextile consistent à comparer l'ouverture de filtration caractéristique (O90) du géotextile au diamètre d85 qui caractérise son squelette. L’ouverture de filtration caractéristique d’un géotextile correspond au diamètre d90 des particules de sol susceptibles de traverser le géotextile. Sa mesure est normalisée (norme EN ISO 12956 de février 1999). Elles s’écrivent O90< C.d85, C étant un coefficient lié à la granularité du sol, à sa compacité et au gradient hydraulique au voisinage du géotextile. Pour un sol de granulométrie étalée et de forte compacité, ce coefficient vaut 1,25. En outre, pour les sols cohérents, on ajoute la condition O90>= 0.08 mm. De même que pour les transitions granulaires, dans le cas où le sol est très gradué (d60 /d10 > 16) et à granulométrie discontinue, le géotextile doit être déterminée avec le d85 de la partie inférieure de la courbe granulométrique du sol, après le changement de pente.

Filtre geotextile.PNG

Systèmes de protection

Protection de la crête

La mise en place d’une couche de grave sur la crête permet notamment d’éviter la formation d’ornières dues au passage de véhicules et la dessiccation des dernières couches argileuses compactées.

Photo crête

Protection des talus amont

Dans de nombreux projets de barrages en remblai, la protection du talus amont est particulièrement importante pour la stabilité de l’ouvrage. Elle a pour objectif de lutter contre l’érosion et les dégâts qui pourraient résulter de l’action des vagues.

Dimensionnement

Le dimensionnement de la protection du talus amont tient compte de la hauteur de vague significative, du soulèvement de la surface de l’eau dû au vent, du déferlement de la vague.

L’action des vagues dépend essentiellement de la dimension de la retenue et de sa localisation géographique (rose des vents). Le choix du type de protection et son dimensionnement sont donc indépendants de la hauteur du barrage. De ce point de vue, les barrages de faible hauteur ne peuvent être considérés comme des cas spécifiques que si la retenue est de faible surface.

-1 - Hauteur de vague significative

La hauteur de vague significative dépend essentiellement :

  • de la vitesse et de la durée du vent ;
  • de la longueur du fetch qui est la distance horizontale dans la direction du vent, sur laquelle souffle le vent ;
  • de la profondeur de l’eau. Le niveau du plan d’eau de la retenue à partir duquel la hauteur de vague est calculée correspond à la retenue pleine (niveau des plus hautes eaux). La profondeur moyenne du réservoir le long du fetch est déterminée à partir de ce niveau.

Pour le calcul de la hauteur des vagues, Degoutte préconise d’utiliser la formule de Smith, adaptée aux conditions d’eau profonde :

Hauteur significative2.PNG

Hs=0.00048Ûa $ \sqrt F $
  • Hs : hauteur significative des vagues en m ;
  • F : longueur du fetch de la retenue en m ;
  • Ûa : vitesse efficace ajustée du vent à 10 m de hauteur en m/s, soit Ûa=Ua.cos θ avec θ l'angle entre les directions du vent et des vagues et Ua = U$ \sqrt{(0.75+0.067*U)} $ avec U vitesse moyenne sur une heure du vent à 10 m au-dessus de la surface de l'eau, pour la période considérée. En l'absence particulière sur la direction des vents, on prend Ûa = Ua

Dans le cas des vents supérieurs à 120 km/h, cette méthode donne de meilleurs résultats que celle de Bretschneider, dont les formules font également intervenir la profondeur D du plan d’eau.

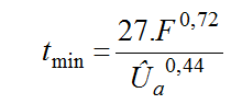
La durée minimale de vent (tmin) nécessaire à la formation des vagues peut être obtenue par application d’une autre formule de Smith : Durée du vent.PNG


$ t_{min} = \frac{27.{F^{0.72}}}{Û_{a}^{0.44} } $


tmin = $ \frac{27.{F^{0.72}}}{û_{a}^{0.44} } $

Vitesse.PNG



$ a = \sqrt a^2 $

$ pi=\frac{3}{4} \sqrt{3}+24 \int_0^{1/4}{\sqrt{x-x^2}dx} $

Outils personnels